Αυξήσεις στις καθαρές τους αποδοχές από μερικά ευρώ έως μερικές δεκάδες ευρώ θα δουν οι μισθωτοί και οι συνταξιούχοι από το νέο έτος.
Οι μεταβολές οφείλονται στη νέα φορολογική κλίμακα και τον τρόπο που αυτή επηρεάζει την παρακράτηση φόρου εισοδήματος.
Η νέα κλίμακα φορολόγησης του εισοδήματος φυσικών προσώπων και η έκπτωση φόρου που οδηγεί σε αφορολόγητο όριο που θα τεθούν σε ισχύ από το νέο έτος έχουν ως εξής:
| Εισόδημα | Συντελεστής |
| Εως 10.000 | 9% (από 22%) |
| 10.001-20.000 | 22% (παραμένει ίδιο) |
| 20.001-30.000 | 28% (από 29%) |
| 30.001-40.000 | 36% (από 37%) |
| 40.001+ | 44% (από 45%) |
Έκπτωση φόρου
Η έκπτωση φόρου για μισθωτούς-συνταξιούχους που οδηγεί σε αφορολόγητο όριο διαμορφώνεται ως εξής:
- Άγαμος: 777 ευρώ που συνεπάγεται αφορολόγητο όριο 8.636 ευρώ.
- Έγγαμος με 1 παιδί: 810 ευρώ για να προκύπτει αφορολόγητο 9.000 ευρώ.
- Έγγαμος με 2 παιδιά: 900 ευρώ για να προκύψει αφορολόγητο όριο 10.000 ευρώ.
- Έγγαμος με 3 παιδιά: 1.120 ευρώ που οδηγεί σε αφορολόγητο 11.000 ευρώ.
- Έγγαμος με 4 παιδιά: 1.340 ευρώ που οδηγεί σε αφορολόγητο όριο 12.000 ευρώ.
- Για κάθε επιπλέον τέκνο η έκπτωση φόρου προσαυξάνεται κατά 220 ευρώ.
Τα ποσά της έκπτωσης φόρου θα δίνονται στο σύνολό τους για εισόδημα από μισθούς ή συντάξεις έως 12.000 ευρώ. Για εισοδήματα άνω των 12.000 ευρώ οι εκπτώσεις φόρου θα περιορίζονται κατά 20 ευρώ ανά 1.000 ευρώ επιπλέον εισοδήματος.
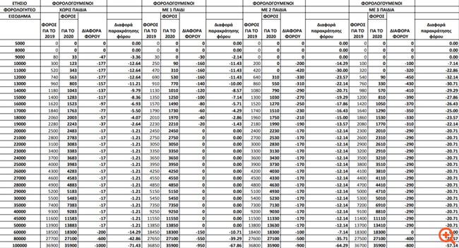
Για τους μισθωτούς και τους συνταξιούχους οι αλλαγές στις μηνιαίες αποδοχές λόγω της νέας φορολογικής κλίμακας έχουν ως εξής:
Ο παραπάνω πίνακας αφορά μισθωτούς του ιδιωτικού τομέα. Για μισθωτούς του δημοσίου τομέα και συνταξιούχους τα ποσά θα είναι οριακά αυξημένα καθώς η παρακράτηση γίνεται σε 12 μήνες αντί για 14 μήνες λόγω μη καταβολής δώρων.
Οι συνολικές φορολογικές απαλλαγές που προβλέπει ο νέος φορολογικός νόμος ανέρχονται σε περίπου 1,1 δισ. ευρώ, με σημαντικό μέρος από αυτό το ποσό να διατίθεται για τη μείωση της φορολογίας εισοδήματος μισθωτών και συνταξιούχων. Υπάρχουν ωστόσο και οι αδικημένοι όπως οι μισθωτοί με ένα παιδί και ετήσιο εισόδημα στη ζώνη μεταξύ 20.000 - 50.000 ευρώ που δεν θα έχουν καμία ελάφρυνση.
